Description
Appunti delle lezioni di Analisi 2 del prof. Farroni, redatti da Francesca Buonfino. Contiene gli esercizi delle tipologie richieste all’esame scritto e tutte le dimostrazioni richieste all’esame orale. Corso del primo anno di ingegneria aerospaziale 2024/2025.
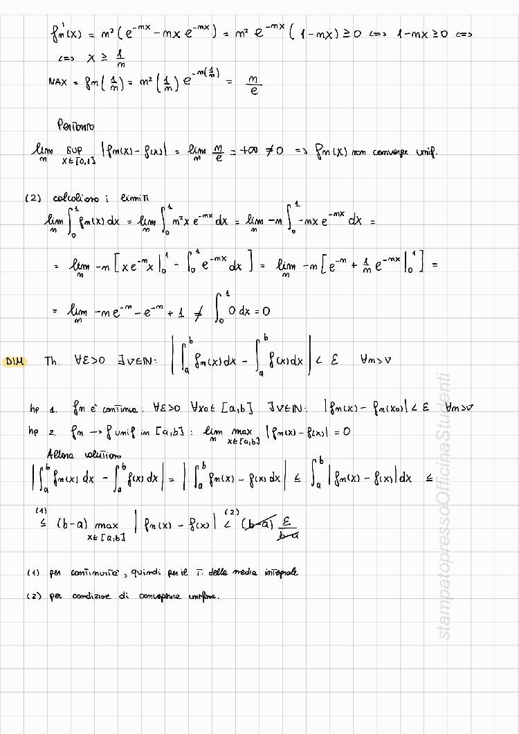
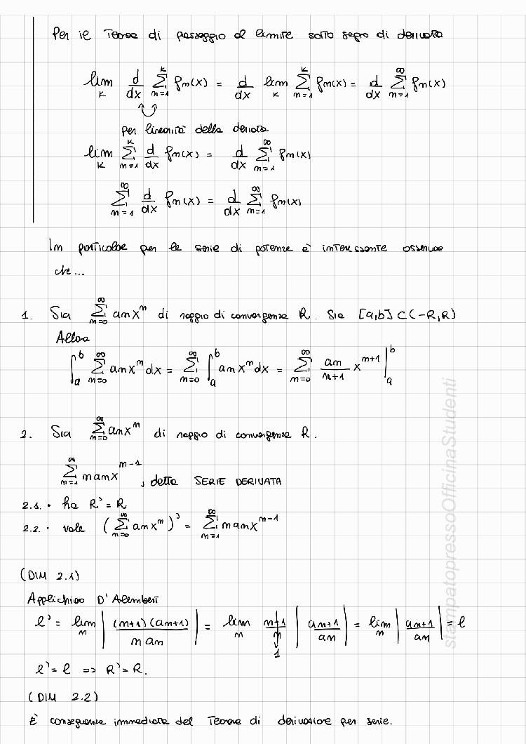
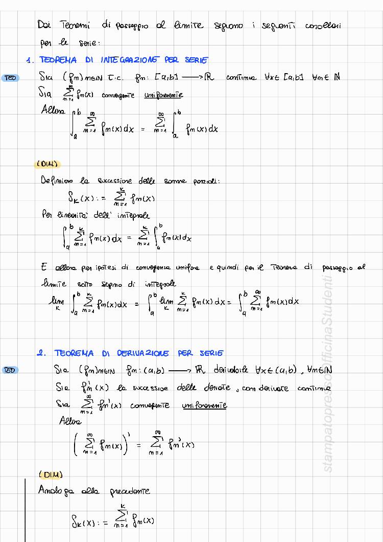
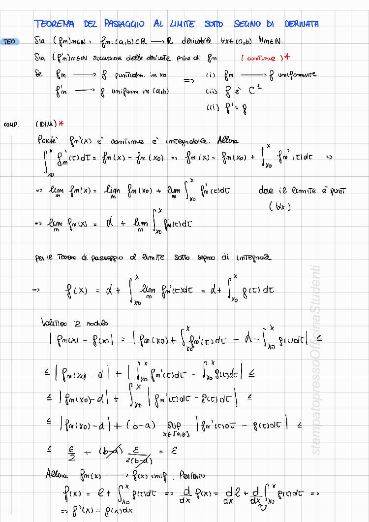
- TEORIA
- ESERCIZI
- RISCRITTI A CASA
- PRESENTI ESERCIZI
- ESERCIZI SVOLTI








Reviews
There are no reviews yet.
Only logged in customers who have purchased this product may leave a review.