Description
Appunti presi durante tutte le lezioni del prof Di Plinio, riscritti con accortezza e confrontati con il libro di testo. Presenti anche degli esempi di esercizi svolti dal professore in aula, redatti da Tommaso Vitiello
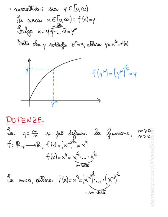
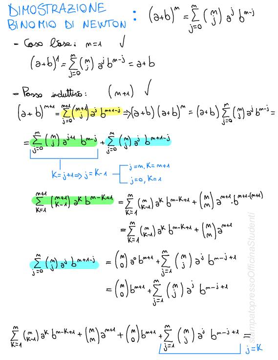
- TEORIA
- ESERCIZI
- SBOBINATURE E REGISTRAZIONI
- APPUNTI PRESI IN AULA
- RISCRITTI A CASA
- INTEGRAZIONE CON LIBRO
- PRESENTI ESERCIZI






Reviews
There are no reviews yet.
Only logged in customers who have purchased this product may leave a review.