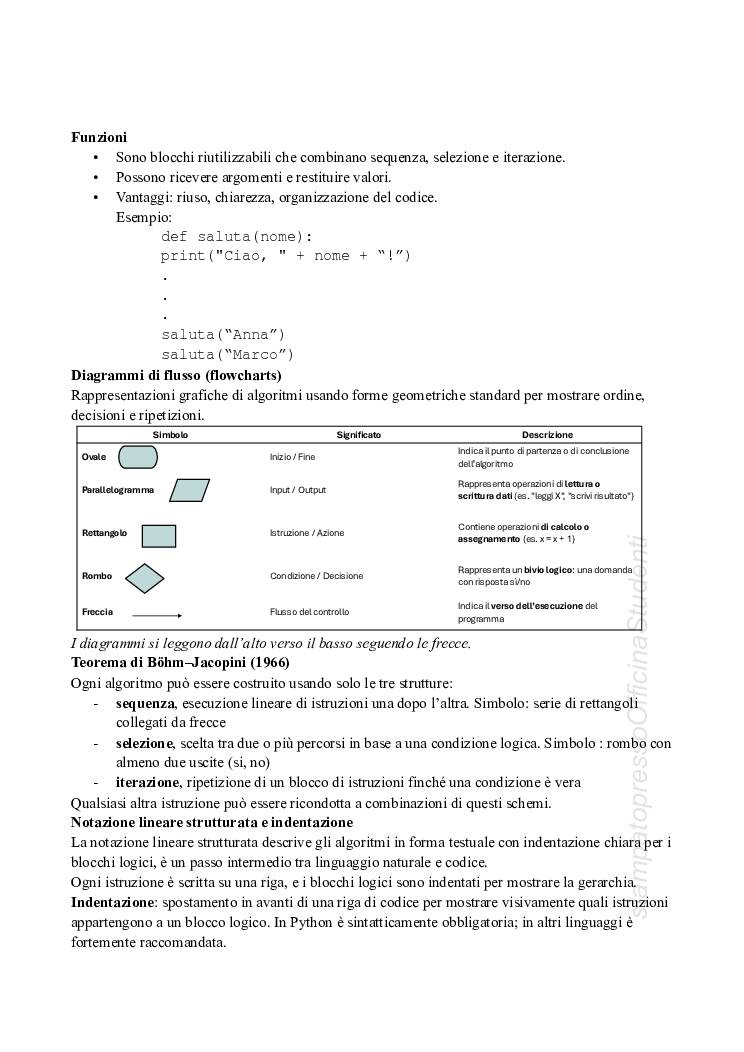
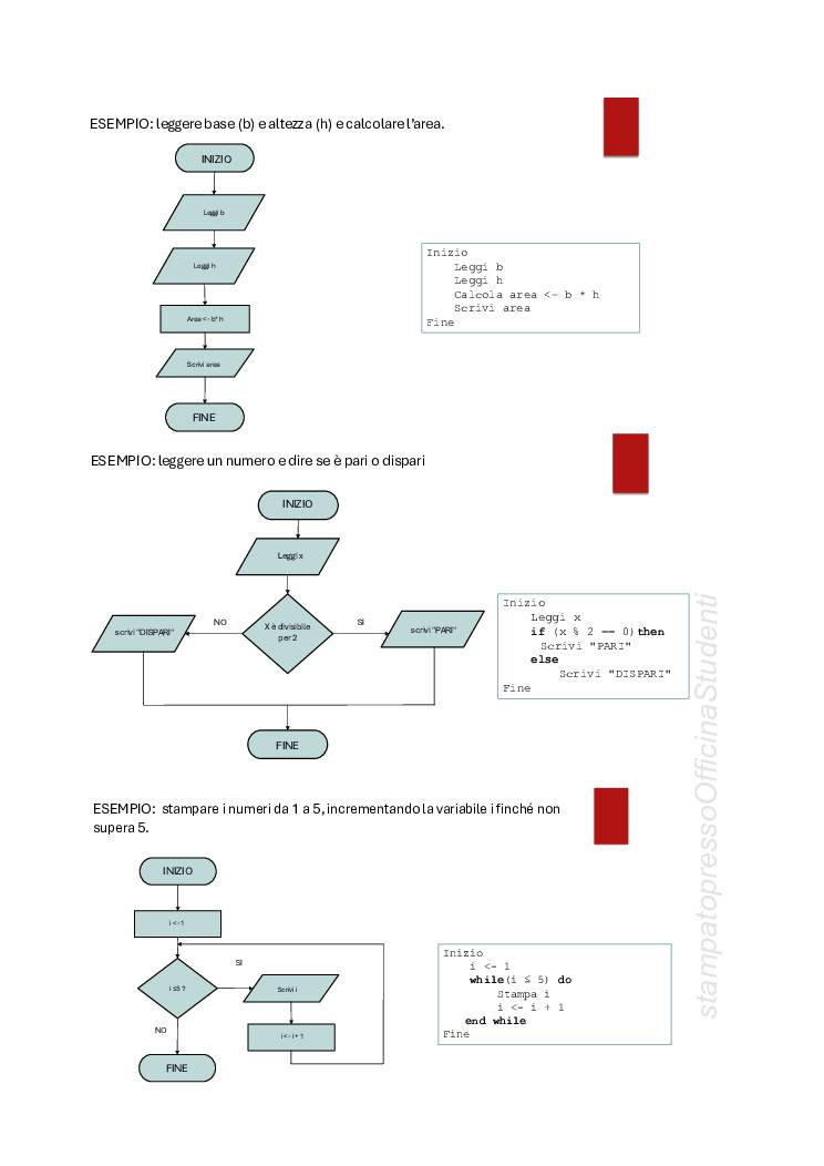
Description
appunti del corso tenuto dal prof Crespi e redatti da Sofia Campagnolo perfetti per fare un esame universitario
- TEORIA
- SBOBINATURE E REGISTRAZIONI
- APPUNTI PRESI IN AULA
- RISCRITTI A CASA
- INTEGRAZIONE CON SLIDE
0,00€ – 9,30€Price range: 0,00€ through 9,30€
| Utile per il corso del Prof. | Carolina Crespi |
|---|---|
| Corso di Laurea | Biotecnologie |
| CFU | 6 |
| Anno accademico | 2025/2026 |
| Triennio | 1 |
| Biennio | 0 |
| Pagine | 53 |
| Autore | sofia campagnolo |
| Facoltà | Biotecnologie |
appunti del corso tenuto dal prof Crespi e redatti da Sofia Campagnolo perfetti per fare un esame universitario
| Utile per il corso del Prof. | Carolina Crespi |
|---|---|
| Corso di Laurea | Biotecnologie |
| CFU | 6 |
| Anno accademico | 2025/2026 |
| Triennio | 1 |
| Biennio | 0 |
| Pagine | 53 |
| Autore | sofia campagnolo |
| Facoltà | Biotecnologie |
Le presenti condizioni generali (di seguito “Condizioni Generali”) disciplinano i servizi offerti sul
sito https://www.appuntiofficinastudenti.com da parte di Officina Studenti S.r.l., con sede legale in
Napoli alla via Diocleziano n. 454, codice fiscale e partita IVA 08321831219, REA NA 948727
(d’ora innanzi Officinastudenti).
Le Parti prendono atto che il significato attribuito alle definizioni contenute nelle presenti
Condizioni Generali è il seguente:
Appunti: i Contenuti concessi in licenza d’uso ad Officinastudenti e da questa messi a disposizione in anteprima parziale sul Sito affinché gli Studenti ne richiedano la stampa;
Autori: gli Utenti che concedono in licenza d’uso ad Officinastudenti i propri Contenuti affinché gli Studenti ne possano richiedere i corrispettivi Stampati e/o che ordinano ad Officinastudenti la stampa dei propri Contenuti;
Banca dati: la banca di dati informatica con cui Officinastudenti ha organizzato e catalogato gli Appunti e li ha resi consultabili e visionabili in anteprima parziale nell’apposita sezione del Sito;
Community: singoli gruppi di discussione, ospitati presso il Sito, all’interno di quali gli Studenti possono confrontarsi e discutere con gli Autori in merito al contenuto degli Appunti;
Contenuti: i documenti, in formato testo o immagine, creativamente elaborati dagli Utenti e trasmessi in formato digitale ad Officinastudenti;
Prodotti: i prodotti di cancelleria, variamente denominati e disponibili all’acquisto sul Sito;
Profilo: l’insieme delle credenziali e delle informazioni anagrafiche fornite dall’Utente in sede di registrazione al Sito;
Servizi: i servizi offerti da Officinastudenti mediante il Sito e disciplinati dalle presenti
Condizioni.
Sito: il sito web https://www.appuntiofficinastudenti.com, ivi compresi tutti i domini e le
pagine web che lo compongono nonché le relative versioni mobile, su qualunque
piattaforma sviluppate e comunque denominate;
Stampati: le copie stampate dei Contenuti;
Studenti: gli Utenti che richiedono gli Stampati degli Appunti consultabili nell’omonima
Utenti: le persone fisiche maggiorenni che, previa registrazione al Sito, fruiscono di uno
qualunque dei servizi del Sito.
2.1. Il Sito è proprio e gestito da Officinastudenti. Il progetto, il codice sorgente, l’architettura
informatica, l’interfaccia visuale, la grafica, la Banca dati, le Community e, in genere, tutte le parti
del Sito messe a disposizione da Officinastudenti sono riservati.
2.2. Il marchio “Officinastudenti”, il marchio figurativo e tutti gli altri marchi e loghi riconducibili a
Officinastudenti, depositati o meno, pubblicati sul Sito ed il dominio stesso su cui è ospitato il Sito
sono e resteranno di proprietà esclusiva di Officina Studenti S.r.l. È vietata qualsiasi riproduzione,
distribuzione, trasferimento, modifica o utilizzo di questi marchi per qualsivoglia motivo senza il
preventivo consenso espresso di Officinastudenti.
3.1. L’Utente accetta che il Sito contenga le sole funzionalità disponibili al momento del proprio
utilizzo. Officinastudenti ha la facoltà di rendere temporaneamente non disponibile il Sito in tutto o
in parte ai fini di manutenzione, senza alcun obbligo di preavviso nei confronti dell’Utente.
3.2. Officinastudenti esclude qualunque garanzia, responsabilità o impegno sulla qualità, sicurezza,
accessibilità ed integrità del Sito e, in ogni caso, in merito ad eventuali pregiudizi a qualunque titolo
derivati dall’indisponibilità temporanea o definitiva del Sito.
3.3. L’Utente riconosce che l’uso del Sito, delle sue funzionalità e dei contenuti e Servizi ivi
accessibili avviene nel proprio esclusivo interesse ed a proprio esclusivo rischio. Officinastudenti
non offre alcuna garanzia circa i risultati che sono attesi, sperati o ottenuti dagli Utenti con l’uso del
Sito, dei contenuti e Servizi ivi disponibili e, in ogni caso, non assume alcuna responsabilità.
3.4. Officinastudenti non garantisce, fra l’altro, che: (i) il Sito sia idoneo a scopi specifici degli
Utenti o sia conforme a qualsivoglia requisito specifico degli Utenti; (ii) il Sito sia disponibile per
l’Utente continuamente e senza interruzioni e/o malfunzionamenti; (iii) i Contenuti siano accurati,
aggiornati e/o completi; (iv) la Banca dati sia sempre aggiornata.
3.5. Il Sito può contenere link a siti web di terze parti non posseduti né gestiti da Officinastudenti.
Officinastudenti non ha alcun controllo e non si assume alcuna responsabilità relativamente ai
contenuti, alle informative sulla privacy e/o alle pratiche adottate dai siti web di terze parti.
3.6. Officinastudenti ha la facoltà di modificare, rettificare o chiudere il Sito in qualsiasi momento
senza alcuna responsabilità nei confronti dell’Utente.
4.1. Non è consentito utilizzare tecniche o altri dispositivi, programmi, metodologie o algoritmi
automatici, né processi manuali simili o equivalenti, per accedere, acquisire, copiare o monitorare
qualsiasi parte del Sito. Officinastudenti si riserva il diritto di bloccare qualsiasi attività di questo
tipo. È fatto divieto a chiunque i) di ottenere l’accesso non autorizzato a qualsiasi parte o
funzionalità del Sito o ad altri sistemi o network collegati al Sito, come pure ai servizi offerti su o
attraverso il Sito, mediante tecniche di hacking, intercettazione delle password o qualsiasi altro
mezzo illegale; ii) di sondare, esaminare o testare la vulnerabilità del Sito o di qualsiasi rete a esso
collegata; iii) di violarne la sicurezza o le misure di autenticazione; iv) di effettuare operazioni di
reverse lookup, tracciare o cercare di tracciare l’origine di informazioni relative a qualsiasi Utente
del Sito;) di sfruttare il Sito o i servizi e le informazioni resi disponibili o offerti tramite il Sito
allo scopo di rivelare qualsiasi informazione relativa a terzi, inclusi senza limitazione alcuna i dati
di identificazione personale.
4.2. Gli Utenti, dunque, si obbligano a non copiare, modificare, riadattare, riprodurre, pubblicare,
trasmettere, distribuire, vendere, concedere in licenza, comunicare o comunque mettere a
disposizione del pubblico, creare lavori derivati da, o fare qualunque altro tipo di uso non
autorizzato del Sito e delle sue parti.
4.3. Gli Utenti sono, in ogni caso, tenuti al rispetto dei seguenti comportamenti:
Il Sito è composto – allo stato attuale e salva la richiamata facoltà di modifica, integrazione o
cancellazione – delle seguenti sezioni: a) Area Personale; b) Appunti; c) Stampa file e Tesi; d)
Cartoleria.
Nella sezione “Area personale”, raggiungibile dalla pagina “Accedi”, a) gli Utenti
provvedono a registrarsi sul Sito comunicando le proprie generalità ed il proprio indirizzo
per la spedizione degli Stampati, obbligandosi a fornire dati costantemente aggiornati; b) gli
Autori caricano i propri Appunti ed accedono alle Community degli Studenti relative agli
Appunti caricati; c) gli Studenti accedono alle Community riferite agli Appunti di cui hanno
acquistato gli Stampati; d) gli Studenti visualizzano la copia digitale protetta (non
stampabile, non scaricabile e non modificabile) degli Stampati acquistati; e) gli Utenti
possono monitorare lo stato dei propri ordini e visionare il numero di tracciamento delle
relative spedizioni.
Nella sezione “Appunti” gli Utenti consultano la Banca dati, visualizzano un’anteprima
parziale degli Appunti, consultano le eventuali recensioni di altri Studenti sugli Appunti ed
incaricano Officinastudenti, dopo aver pagato il corrispettivo del Servizio richiesto, di
stampare gli Appunti personalizzandone il formato. Gli Utenti sono autorizzati alla
consultazione della Banca dati all’esclusivo fine di scegliere gli Appunti di cui ordinare la
stampa. Agli Utenti e, in ogni caso, ai terzi è vietata l’estrazione o il reimpiego di parti
anche non sostanziali della Banca dati, ai sensi degli artt. 102-bis e 102-ter, l.aut.
Nella sezione “Stampa file” e “Tesi” gli Utenti possono caricare un Contenuto chiedendone
la stampa a Officinastudenti con l’indicazione delle modalità e del numero di copie richieste
ed effettuare il pagamento del Servizio richiesto. Il Contenuto è cancellato trascorsi 7 giorni
dalla consegna al corriere del corrispondente Stampato.
Nella sezione “Cartoleria” gli Utenti possono acquistare, in base alla disponibilità dichiarata,
uno dei Prodotti presenti sul Sito ed effettuare il pagamento del prezzo;
Nella sezione “Carrello” gli Utenti possono visionare i Contenuti ed i Prodotti selezionati
durante la navigazione sul Sito e, dopo aver provveduto al pagamento del corrispettivo dei
Servizi richiesti, procedere al perfezionamento dell’ordine.
6.1. Le Community costituiscono gruppi di discussione dove gli Studenti che hanno ordinato gli
Stampati possono confrontarsi sul contenuto dei rispettivi Appunti e chiedere delucidazioni agli
Autori. Nelle Community gli Autori possono chiedere a Officinastudenti di caricare contenuti
integrativi dei propri Appunti. A tal fine si applicano le disposizioni di cui agli artt. 8 s. delle
presenti Condizioni Generali.
6.2. Per ogni Appunto caricato sul Sito, Officinastudenti crea uno specifico forum accessibile
esclusivamente dall’Autore e dagli Studenti che hanno ordinato gli Stampati riferiti all’Appunto
medesimo. L’iscrizione ai singoli forum avviene, rispettivamente, per l’Autore a seguito del
caricamento dell’Appunto e, per lo Studente, all’atto del completamento dell’ordine di stampa.
6.3. Ogni Autore è, di diritto, costituito moderatore della Community relativa al proprio Appunto. In
caso di rinuncia espressa dell’Autore o di altro permanente impedimento, entro venti giorni da tale
evento gli Studenti della Community eleggono fra i propri membri il moderatore; in mancanza, sono
conferite le funzioni di moderatore allo Studente della Community dall’iscrizione al Sito più
risalente nel tempo.
6.4. Officinastudenti non opera alcun controllo né preventivo, né continuativo sul contenuto delle
comunicazioni degli Autori e degli Studenti postati nelle rispettive Community, la cui vigilanza è
rimessa integralmente alla moderazione dei rispettivi Autori.
6.5. I messaggi postati sulle Community esprimono il punto di vista dei singoli Autori e dei singoli
Studenti: gli uni e gli altri saranno ritenuti unici responsabili dei rispettivi contenuti postati nelle
Community. I contenuti delle Community sono accessibili ai soli membri delle rispettive
Community, i quali si obbligano a non divulgare o diffondere con alcun mezzo i contenuti ivi postati
da sé o da altri. Gli Autori e gli Studenti sollevano, pertanto, Officinastudenti da ogni responsabilità
per gli eventuali pregiudizi arrecati a terzi che si ritenessero lesi dal contenuto di messaggi presenti
all’interno delle Community ed abusivamente divulgati.
6.6. Nelle Community sono, in ogni caso, vietati i messaggi che ostacolino la libera e serena
discussione degli Studenti e che, in qualunque misura, siano lesivi dei diritti fondamentali della
persona umana. A titolo puramente esemplificativo, sono vietati messaggi, immagini o collegamenti
dal contenuto xenofobo, eversivo, diffamatorio, violento, volgare o blasfemo o, in ogni caso, idonei
a ledere la sensibilità altrui. È altresì vietata la riproduzione non autorizzata di contenuti proprietari
presenti in altri siti o altrove comunque reperibili.
6.7. Non è consentito agli Studenti fare offerte o proposte commerciali o inviare pubblicità e spam
ad altri Utenti. Agli Autori è permesso – nel rispetto delle regole di confronto sopra indicate – la
promozione di altri Appunti presenti nel Sito.
6.8. I moderatori delle rispettive Community sono tenuti a favorirvi una discussione serena e
rispettosa vigilando sul rispetto delle precedenti regole. Anche in assenza di specifica segnalazione
da parte di taluno Studente, gli Autori sono tenuti a richiedere tempestivamente a Officinastudenti
a) la rimozione dei contenuti postati dagli Studenti in violazione delle regole precedenti o, nei casi
più gravi, b) la sospensione degli Studenti responsabili.
6.9. Gli Studenti, in caso di inerzia o concorso di colpa degli Autori nella violazione delle
precedenti regole, possono chiedere ad Officinastudenti di prendere i più opportuni provvedimenti
inviando un messaggio al webmaster.
6.10. Officinastudenti si riserva il diritto, a proprio insindacabile giudizio e senza preavviso alcuno,
di escludere taluni Studenti dall’accesso alle Community o di limitare, sospendere od eliminare le
Community come tali.
7.1. Per fruire dei Servizi, l’Utente deve registrarsi al Sito compilando il proprio Profilo. La
mancata compilazione e comunicazione delle informazioni e dei dati di volta in volta richiesti
determina l’impossibilità per l’Utente di accedere in modo completo alle funzionalità del Sito e/o ai
Servizi ivi disponibili.
7.2. La registrazione dell’Utente è unica per tutti i Servizi offerti da Officina Studenti tramite il
Sito.
7.3. La registrazione al Sito è consentita soltanto a persone maggiori di età. Non è consentita la
registrazione di Utenti che siano stati precedentemente sospesi o rimossi dal Sito. Registrandosi,
l’Utente conferma di essere in possesso dei predetti requisiti.
7.4. L’Utente garantisce l’esattezza, la completezza e la veridicità dei dati e delle informazioni
fornite a Officinastudenti in sede di registrazione, nonché di tutte le informazioni e dati integrativi
che fornirà nel corso dell’utilizzo del Sito, dei contenuti e dei Servizi ivi disponibili.
Officinastudenti avrà il diritto, a propria insindacabile discrezione, di non accettare la registrazione
dell’Utente, ovvero di sospendere o interrompere – anche definitivamente – l’accesso al Sito e/o la
prestazione dei Servizi, qualora qualunque informazione dell’Utente dovesse rivelarsi in tutto o in
parte falsa, incompleta o inesatta. L’Utente si impegna a tenere costantemente aggiornate le
informazioni relative al proprio Profilo mediante modifica delle informazioni presenti nella propria
Area personale.
7.5. Per la registrazione, l’Utente, dopo aver acceduto alla pagina “Accedi”, deve scegliere le
proprie credenziali di accesso, costituite da un identificativo univoco (nickname), da una parola
chiave (password) sicura e da un indirizzo valido di posta elettronica; all’indirizzo di posta
elettronica comunicato dall’Utente sarà inviata una mail automatica di conferma che reindirizzerà
l’Utente al Sito. Nella compilazione del Profilo sono vietati nickname osceni, volgari e blasfemi o
che usurpino il nome o lo pseudonimo altrui.
7.6. Gli Utenti possono altresì inserire una immagine univoca identificativa (avatar) purché non
presenti un contenuto osceno, volgare, blasfemo o, altrimenti, abusivo. Gli Utenti dichiarano, per
l’effetto, di avere il diritto di utilizzare le immagini scelte come avatar.
7.7. L’Utente accetta e riconosce che, in seguito alla creazione del Profilo, il proprio nickname e, se
fornito, il proprio avatar saranno visibili agli altri Utenti e, in particolare, agli Studenti delle
Community riferite agli Appunti di cui è Autore o di cui ha acquistato lo Stampato.
7.8. L’identità dell’Utente rimane celata agli altri Utenti; in ogni caso, la vera identità dell’Utente
potrà essere comunicata da Officinastudenti alle Autorità, qualora ciò venga richiesto nelle forme di
legge, ovvero dalla stessa utilizzata, per accertare e perseguire reati ed illeciti e/o in caso di
violazioni o inadempimenti dell’Utente alle presenti Condizioni generali e/o contestazioni a carico
del medesimo, nel rispetto di quanto previsto dalla Privacy Policy.
7.9. Ad ogni Utente può corrispondere un solo Profilo. Officinastudenti, qualora riscontri che al
medesimo Utente corrispondano più Profili, si riserva il diritto di sospendere, senza preavviso, i
Profili posteriori al primo.
7.10. Al primo accesso all’Area Personale, l’Utente, per completare la propria registrazione, dovrà
indicare i propri riferimenti anagrafici essenziali, un proprio recapito telefonico, l’indirizzo di
residenza e l’indirizzo di spedizione desiderato per la ricezione degli Stampati. È vietato
l’inserimento di riferimenti anagrafici falsi, inventati o di fantasia o di terze persone.
Officinastudenti, oltre a cancellare il Profilo contenente dati manifestamente incongrui, si riserva di
perseguire ogni violazione od abuso segnalandolo presso le Autorità competenti. L’indirizzo di
spedizione dovrà essere sito nel territorio italiano. Non è ammesso l’inserimento di indirizzi di
spedizione esteri. In quest’ultimo caso, Officinastudenti segnalerà all’Utente di indicare un valido
indirizzo sito in Italia; nel caso di mancata od erronea indicazione di un valido indirizzo di
spedizione a seguito della segnalazione di Officinastudenti, quest’ultima si riserva di non dar corso
all’ordine rimborsando l’Utente degli importi versati e di sospenderne il Profilo.
7.11. Con la registrazione, l’Utente autorizza Officinastudenti al trattamento dei dati personali per le
finalità di cui al presente contratto nel rispetto dei principi di liceità, correttezza e trasparenza,
secondo quanto previsto dal Regolamento UE n. 679/2016 e giusta informativa presente
nell’apposita pagina reperibile sul Sito.
7.12. L’Utente è unico responsabile della custodia e della riservatezza delle proprie credenziali.
L’Utente accetta e riconosce, altresì, di essere sempre responsabile dell’uso del Sito anche quando
terzi vi abbiano avuto accesso mediante le sue credenziali e si impegna a manlevare e tenere
indenne Officinastudenti, i suoi dipendenti, soci, amministratori e consulenti, da qualsiasi pretesa
che possa essere avanzata da terzi in relazione e/o connessione all’utilizzo del Sito e del Profilo
tramite le sue credenziali (ancorché tale utilizzo non sia stato da questi autorizzato), nonché da ogni
e qualsivoglia conseguente danno, costo, onere e spesa che Officinastudenti, i suoi dipendenti, soci,
amministratori e consulenti, abbiano a subire.
7.13. L’Utente è tenuto a comunicare prontamente ad Officinastudenti qualsiasi evento in ragione
del quale ritenga che le proprie credenziali non siano più sicure (ad esempio a seguito di
smarrimento, appropriazione indebita o illegale o non autorizzata, ovvero in ragione del semplice
utilizzo da parte altrui). Dietro segnalazione dell’Utente circa condotte abusive da parte di terzi
compiute accedendo al Sito con le sue credenziali, Officinastudenti si riserva la facoltà
discrezionale di ripristinare, sospendere e/o cancellare il Profilo dell’Utente: la sospensione e/o
cancellazione del Profilo dell’Utente non potrà comportare alcun tipo di responsabilità di
Officinastudenti nei confronti dell’Utente e/o di terzi.
7.14. Qualora l’Utente non usufruisca dei Servizi offerti dal Sito da oltre un anno, Officinastudenti
potrà a propria discrezione e senza preavviso sospendere e/o cancellare il Profilo dell’Utente
nonché rimuovere le sue interazioni presenti nel Sito, fra cui (a titolo esemplificativo) le
comunicazioni dell’Utente nelle Community di riferimento.
7.15. L’Utente può, in ogni momento, disporre la chiusura del proprio Profilo all’interno della
propria Area personale, senza alcuna penalità e senza specificarne il motivo. Il recesso dell’Utente
non ha efficacia retroattiva e non pregiudica, pertanto, le prestazioni di servizi in favore dell’Utente
la cui esecuzione sia già iniziata.
7.16. La chiusura del Profilo dell’Autore non comporta l’automatica rimozione dei Contenuti
licenziati dal medesimo e resi disponibili sul Sito. In particolare, la licenza d’uso concessa
dell’Autore ai sensi del successivo art. 8 si intende automaticamente revocata solo qualora lo stesso
chieda ad Officinastudenti, con comunicazione scritta da inviare all’indirizzo mail
officinastudenti2005@gmail.com, che vengano rimossi dal Sito e non più messi a disposizione gli
Appunti dallo stesso forniti. Officinastudenti procederà alla rimozione dei relativi Contenuti entro
giorni lavorativi successivi alla ricezione della richiesta, salvo problemi tecnici relativi al corretto
funzionamento del Sito.
7.17. Officinastudenti avrà diritto di sospendere o cancellare il Profilo dell’Utente ed impedirgli
comunque l’uso del Sito bloccandone l’accesso, immediatamente e senza obbligo di preavviso,
qualora – a insindacabile giudizio di Officinastudenti – l’Utente violi in tutto o in parte le presenti
Condizioni generali con non esclusivo riguardo a quanto sopra previsto all’art. 4..
7.18. Officinastudenti si riserva il diritto di utilizzare qualunque mezzo legale per prevenire e
contrastare qualsiasi utilizzo illegale del proprio Sito e dei contenuti e Servizi ivi disponibili, ivi
inclusa la possibilità di mappare gli indirizzi IP e di contattare l’Internet Service Provider a cui si
ritenga faccia riferimento tale uso illecito. Senza pregiudizio per gli altri rimedi e azioni,
Officinastudenti riferirà alle Autorità competenti qualunque attività sospetta di essere fraudolenta,
abusiva o illegale.
L’Autore, all’atto del caricamento dei Contenuti sul Sito, accetta di concedere a Officinastudenti:
i) per il Servizio di Stampa degli Appunti, una licenza gratuita, libera, globale, non
esclusiva, perpetua e revocabile per l’uso di tali Contenuti in correlazione con il Sito e
per scopi pubblicitari e/o promozionali correlati con il Sito.
L’Autore accorda dunque a Officinastudenti un diritto permanente, universale e non
esclusivo di riprodurre in formato digitale e cartaceo, rendere disponibile e distribuire in
qualunque forma e modificare in tutto e/o in parte i Contenuti caricati nella sezione
“Appunti” del Sito.
Tale licenza non è automaticamente revocata all’atto della cancellazione, per qualunque
causa, del Profilo dell’Autore presente sul Sito.
La licenza si intende revocata soltanto quando l’Autore chieda a Officinastudenti, con
comunicazione scritta da inviare all’indirizzo mail officinastudenti2005@gmail.com,
che vengano rimossi dal Sito e non più messi a disposizione degli Studenti i Contenuti
dallo stesso caricati. Officinastudenti procederà alla rimozione dei relativi Contenuti
entro 7 giorni lavorativi successivi alla ricezione della richiesta, salvo problemi tecnici
relativi al corretto funzionamento del Sito.
ii) per il Servizio di “Stampa file” e “Tesi”, una licenza gratuita, libera, globale, non
esclusiva al fine unico di consentire la stampa, la rilegatura e la spedizione, presso il
recapito indicato dall’Autore, dei Contenuti caricati mediante il Sito. Officinastudenti si
impegna a eliminare dal proprio archivio riservato i predetti Contenuti trascorsi 7 giorni
lavorativi dalla consegna al corriere degli Stampati per la spedizione.
9.1. I Contenuti i caricati dagli Autori sul Sito costituiscono un mero ausilio didattico e informativo
elaborato a lezione dagli stessi Autori o in occasione del proprio studio. I Contenuti creati dagli
Autori sono da intendersi come esclusivamente integrativi e in nessun caso sostitutivi dei
programmi didattici stabiliti da ciascun ordinamento didattico. Officinastudenti non è in grado di
verificare l’esattezza e la veridicità delle informazioni presenti nei Contenuti e, pertanto, declina
ogni responsabilità qualora le stesse dovessero risultare errate, incongrue o, in ogni caso, inidonee
alla preparazione delle corrispondenti verifiche didattiche. Gli Autori si impegnano a conservare
una copia di back-up dei Contenuti caricati sul Sito, in quanto Officinastudenti non potrà in nessun
caso essere ritenuta responsabile in caso di eventuale perdita o danneggiamento dei detti Contenuti.
9.2. All’atto del caricamento dei Contenuti sul Sito, l’Autore riconosce espressamente e garantisce:
(i) di essere l’autore di tale Contenuto e, in ogni caso, di poterne liberamente e legalmente
disporre, avendo ricevuto l’espressa autorizzazione da parte del titolare;
(ii) di non essere associato alla SIAE, né di averle conferito mandato e che, in ogni caso, i
diritti correlati ai Contenuti – in ogni loro componente – non sono amministrati dalla
SIAE a cui, pertanto, non sono dovuti compensi di sorta;
(iii) che i Contenuti non hanno carattere illecito, diffamatorio, infamante, offensivo,
indecente, volgare, pornografico, a contenuto razzista o discriminatorio, contrario a
norme di legge, all’ordine pubblico o al buon costume o, in ogni caso, lesivo dei diritti di
terzi;
(iv) che il caricamento dei Contenuti sul Sito ed il suo conseguente uso in conformità alle
presenti Condizioni Generali e secondo i Servizi di volta in volta presenti sul Sito non
viola alcun diritto di terzi, con particolare riferimento ai diritti di proprietà intellettuale e
di marchio né è oggetto di contraffazione.
9.3. Caricando sul Sito i Contenuti, l’Autore accetta tutti i rischi connessi alla loro diffusione come
Stampati, riconoscendo che Officinastudenti non è in alcun modo responsabile dell’utilizzo –
ancorché illecito – di tali Stampati da parte degli Studenti, e rinuncia sin da ora ad avanzare nei
confronti di Officinastudenti, suoi dipendenti, soci, amministratori e consulenti, qualsiasi pretesa al
riguardo.
10.1. L’Autore comprende e accetta di essere il solo responsabile di ogni e qualsiasi informazione,
messaggio, testo, dato, immagine e altro genere di Contenuto da egli caricato sul Sito e di
risponderne in prima persona. L’Autore è altresì il solo soggetto responsabile della verifica di
merito, ortografia e grafica dei medesimi Contenuti.
10.2. Officinastudenti – che non esercita alcun rapporto di lavoro, coordinamento o mandato con gli
Autori e sugli stessi non esercita alcuna influenza – non controlla, visiona o rivede, né ha l’obbligo
di farlo, i predetti Contenuti.
10.3. L’Autore prende, dunque, espressamente atto e accetta che Officinastudenti non è tenuta ad
effettuare e non effettua alcuna attività di verifica di contenuti, ortografia e grafica dei Contenuti
disponibili sul Sito e non potrà quindi essere ritenuta responsabile di eventuali errori o difformità.
10.4. L’Autore prende, altresì, espressamente atto e accetta che Officinastudenti non è tenuta ad
effettuare e non effettua alcun controllo sulla liceità, veridicità, fondatezza, accuratezza, non
ingannevolezza, non offensività dei Contenuti e, pertanto, non sarà in alcun modo responsabile nel
caso in cui il Contenuto abbia contenuto illecito, offensivo, lesivo di diritti di terzi, falso, inesatto,
incompleto e/o inaccurato, ingannevole, ovvero nel caso in cui esso, la relativa stampa e/o fruizione
tramite il Sito, leda diritti di proprietà intellettuale e/o industriale di terzi.
10.5. Gli Utenti dichiarano di essere consapevoli della possibilità che i Contenuti risultino offensivi
e sollevano, per l’effetto, Officinastudenti da ogni responsabilità. Sono sempre fatti salvi i casi di
dolo e colpa grave.
10.6. Officinastudenti non può essere obbligata a corrispondere compensazioni, imposte, tributi o
deduzioni di qualsivoglia natura a chicchessia come diretta conseguenza della disponibilità dei
Contenuti sul Sito, ivi incluse le persone i cui lavori, modelli, marchi o le cui prestazioni siano
presenti nei predetti Contenuti.
10.7. Officinastudenti, dunque, declina ogni responsabilità per danni, pretese o perdite, dirette o
indirette, derivanti agli Utenti o a terze parti dalla trasmissione, divulgazione, scambio o messa a
disposizione dei Contenuti creati e caricati sul Sito da parte degli Autori.
11.1. L’Autore esonera Officinastudenti, impegnandosi altresì a mantenerla indenne e manlevarla
da qualsiasi responsabilità nei confronti di terzi che dovessero lamentare violazioni di diritti di
proprietà intellettuale, lesioni all’immagine, onore, decoro, integrità morale o comunque qualsiasi
danno patrimoniale e non patrimoniale conseguente alla stampa delle immagini e del testo dei
Contenuti offerti tramite il Sito dall’Autore stesso. La predetta garanzia si intende estesa alle
indennità reclamate, agli onorari di avvocati e alle spese giudiziarie.
11.2. In ogni caso, Officinastudenti si riserva il diritto di modificare, rifiutare e/o rimuovere a sua
discrezione i Contenuti non ritenuti idonei alla trasmissione, divulgazione, scambio o messa a
disposizione tramite i propri Servizi, senza necessità di concedere preavviso e senza che da tali
azioni derivi alcuna responsabilità.
11.3. Fermo quanto precede, eventuali violazioni di legge o di diritti di terzi potranno essere
segnalate e contestate al seguente indirizzo: officinastudenti2005@gmail.com
12.1. Officinastudenti riconosce all’Autore, i cui Contenuti concorrono gratuitamente alla sezione
“Appunti” del Sito, un buono acquisto per ogni servizio di stampa dei suoi Contenuti ordinato
tramite il Sito ed utilizzabile per tutti i Servizi offerti da Officinastudenti. I buoni vengono caricati
nell’Area personale dell’Autore, il quale può altresì visualizzare quanti Stampati dei propri Appunti
vengono ordinati e consegnati.
12.2. Officinastudenti ha la facoltà di riconoscere buoni acquisto per i propri Servizi anche agli
Utenti che fruiscono abitualmente dei Servizi stessi. I buoni vengono caricati nell’Area personale
dell’Utente.
13.1. L’Utente, attraverso il Sito, può ordinare la stampa di un Contenuto disponibile nella sezione
“Appunti” o contestualmente inviato tramite le sezioni “Stampa File” e “Tesi”. In particolare, per il
Servizio “Appunti”, l’Utente, dopo aver selezionato il Contenuto di proprio interesse, può
sceglierne il formato, le modalità e la copertina nelle pagine rispettivamente dedicate ed ordinarne
la stampa ad Officinastudenti. Per i Servizi “Stampa file” e “Tesi”, l’Utente provvede a caricare un
file in formato pdf e, dopo aver selezionato il formato, le modalità, la copertina ed il numero di
copie, ordina ad Officinastudenti la stampa del file caricato. L’Utente, dopo aver selezionato i
Contenuti di proprio interesse, completa il proprio ordine nella sezione del Sito “Carrello” dove è
mostrato l’elenco degli Stampati richiesti e dove, indicando un valido mezzo di pagamento, dà
apposita conferma dell’ordine di stampa.
13.2. Per il Servizio di “Appunti”, a seguito del completamento dell’ordine, l’Utente può
visualizzare nella propria Area personale un formato digitale dello Stampato ordinato. In
particolare, gli Studenti possono visualizzare gli Appunti di cui hanno ordinato gli Stampati in un
formato immagine non riproducibile, non scaricabile e non appuntabile. Tale formato digitale dello
Stampato è consultabile soltanto nell’Area personale e non è ulteriormente riproducibile. Ai sensi
dell’art. 135-novies del d.lgs. 2005/206, al predetto formato digitale non si applicano, in alcun caso,
le disposizioni del Capo I-bis del medesimo decreto.
13.3. Il contratto di stampa dei Contenuti richiesti stipulato tra Officinastudenti e l’Utente deve
intendersi concluso all’atto della conferma dell’ordine da parte dell’Utente. La corretta ricezione
dell’ordine è quindi confermata da Officinastudenti mediante un messaggio mail automatico inviato
all’indirizzo presente nel Profilo personale e riportante i dati identificativi dell’ordine. Il messaggio
riepiloga egualmente i dati inseriti dall’Utente, che si impegna a verificarne la correttezza e a
comunicare immediatamente l’eventuale rettifica ad Officinastudenti alla mail presente in calce
all’ordine. In mancanza di un’eventuale tempestiva comunicazione di rettifica, l’ordine sarà
validamente e correttamente eseguito spedendo gli Stampati all’indirizzo risultante dall’ordine e
l’Utente esonera Officinastudenti da qualunque responsabilità nei confronti propri e di terzi, a
qualunque titolo.
13.3. Officinastudenti si riserva, in ogni caso, il diritto di rifiutare l’ordine nel caso in cui ritenga, in
buona fede, che l’Utente abbia manifestamente violato le presenti Condizioni Generali oppure che i
dati forniti dall’Utente sul proprio Profilo siano incompleti o non corretti. Nel caso di mancata
accettazione dell’ordine, Officinastudenti si impegna ad una tempestiva comunicazione all’Utente
per convenire le modalità di rimborso delle somme frattanto accreditate da quest’ultimo all’atto del
completamento dell’ordine.
14.1. Officinastudenti non svolgerà alcuna verifica, né personale né automatica, dei Contenuti di cui
è richiesta la stampa. Per i Servizi di “Stampa file” e “Tesi”, Officinastudenti si limiterà a verificare
esclusivamente che i Contenuti caricati corrispondano al formato di stampa richiesto, senza alcun
controllo circa la congruità o l’idoneità dell’impaginazione corrispondente. Nel solo caso di
mancata corrispondenza del formato di stampa richiesto rispetto al Contenuto caricato,
Officinastudenti segnalerà tale circostanza all’Utente invitandolo a trasmettere, via mail, il file pdf
nel formato corretto e congruo per la tipologia di stampa già richiesta.
14.2. Nella realizzazione degli Stampati, Officinastudenti si riserva il diritto di procedere
all’inserimento automatico di una filigrana e/o del proprio marchio su tutte o talune delle pagine
dello Stampato. Officinastudenti si riserva altresì il diritto di intercalare negli Stampati pagine
promozionali di prodotti o servizi, propri o di terzi.
14.3. Officinastudenti non potrà in alcun modo essere ritenuta responsabile per l’utilizzo non
autorizzato di immagini e testi presenti nei Contenuti e negli Stampati. L’Utente esonera
Officinastudenti, impegnandosi altresì a mantenerla indenne e manlevarla, da qualsiasi
responsabilità nei confronti di terzi che dovessero lamentare violazioni di diritti di proprietà
intellettuale, lesioni all’immagine, onore, decoro, integrità morale o comunque qualsiasi danno
patrimoniale e non patrimoniale conseguente alla stampa dei Contenuti caricati dall’Utente.
14.4. Officinastudenti si riserva in ogni caso il diritto di non dar corso alla stampa dei Contenuti che
comportino un’evidente violazione dei diritti di proprietà intellettuale di terzi o comunque il cui
oggetto sia, a prima vista, xenofobo, eversivo, violento, diffamatorio o in altro modo contrario
all’ordine pubblico ed al buon costume.
14.5. I Contenuti caricati dagli Utenti nelle sezioni “Stampa file” e “Tesi” verranno cancellati
dall’archivio riservato di Officinastudenti trascorsi 7 giorni dalla consegna dei corrispondenti
Stampati.
15.1. Nella sezione “Cartoleria” del Sito, l’Utente può acquistare i Prodotti offerti, nei limiti delle
disponibilità effettive del magazzino di Officinastudenti. L’Utente, dopo aver selezionato i Prodotti
di proprio interesse, completa il proprio ordine nella sezione del Sito “Carrello” dove è visualizzato
l’elenco dei Prodotti richiesti e dove, indicando un valido mezzo di pagamento, dà apposita
conferma dell’ordine di acquisto.
15.2. Officinastudenti, in ogni caso, si riserva il diritto di modificare le informazioni dei Prodotti,
per adeguarle a quelle fornite dai produttori, senza necessità di preavviso alcuno. Resta inteso che
l’immagine a corredo della scheda descrittiva dei Prodotti può non essere perfettamente
rappresentativa delle caratteristiche e può differire per colore, dimensioni, prodotti accessori
presenti in figura. Tutte le informazioni di supporto all’acquisto sono da intendersi a titolo
puramente illustrativo e non riferibile alle reali caratteristiche di ogni singolo Prodotto. Pertanto,
nonostante Officinastudenti si adoperi per assicurare che il colore e il modello dei Prodotti di cui
sono pubblicate le foto sul Sito siano fedeli ai Prodotti originali, potrebbero riscontrarsi differenze
tra le immagini e i Prodotti effettivamente acquistati, sicché Officinastudenti non è responsabile di
errori o di inesattezze nelle riproduzioni fotografiche o nelle rappresentazioni grafiche dei Prodotti.
15.3. Nella sezione “Cartoleria” del Sito sono visibili le quantità di Prodotti disponibili al momento
dell’ordine. Officinastudenti si riserva, in ogni caso, il diritto di non dar corso all’ordine in parte o
in tutto se, all’atto della predisposizione dei Prodotti da spedire, le quantità materialmente
disponibili risultino ridotte od esaurite.
15.4. Officinastudenti si riserva il diritto di limitare il quantitativo acquistabile dei Prodotti oggetto
di promozioni di prezzo e di accettare i relativi ordini limitatamente alle predette quantità, previa
comunicazione e accettazione da parte dell’Utente, in difetto della quale l’ordine dovrà ritenersi
annullato.
16.1. Qualsiasi ordine effettuato attraverso il Sito dovrà essere pagato contestualmente al
perfezionamento dell’ordine. Tutti gli ordini sono pagabili in euro. Nel caso in cui taluni dei
Prodotti ordinati non siano disponibili, saranno addebitati solo il prezzo dei Prodotti disponibili e le
corrispondenti spese di trasporto.
16.2. Sono accettati pagamenti per mezzo di carta di credito e/o carta di debito tramite i circuiti
specificamente indicati in fase di completamento dell’ordine. Officinastudenti darà seguito
all’ordine solo dopo che saranno state verificate le modalità di pagamento o ricevuto l’accredito
dello stesso.
17.1. Officinastudenti recapiterà all’Utente, presso l’indirizzo da questo indicato nel Profilo, gli
Stampati ordinati ed i Prodotti acquistati, mediante corrieri e/o spedizionieri di fiducia.
17.2. Verificate le modalità di pagamento, gli Stampati ed i Prodotti relativi ad ordini pervenuti
entro le ore 13:00 vengono spediti, nell’80% dei casi, il giorno stesso dell’ordine. Nel restante 20%
dei casi, il giorno lavorativo successivo ovvero entro 24 ore dall’ordine. I tempi sono comunque
indicativi; nel caso in cui, a causa di eventi non previsti come guasto di macchinari, mancanza di
personale o altro, i tempi di consegna indicati dovessero slittare di qualche giorno, Officinastudenti
non sarà responsabile di eventuali pregiudizi, patrimoniali o non patrimoniali, provocati da ritardi
nella spedizione.
17.3. Una volta spedito, il Prodotto è affidato al corriere. L’Utente si assume tutti i rischi (in
particolare i rischi di perdita, furto o deterioramento) relativamente agli Stampati ed ai Prodotti
ordinati a decorrere dal momento in cui i prodotti sono stati consegnati da Officinastudenti al
corriere.
18.1. Officinastudenti non sarà responsabile nei confronti dell’Utente per danni di qualsiasi specie,
sia diretti che indiretti, derivanti da eventuali errori, di ogni natura, nella stampa dei Contenuti,
salvo dolo o colpa grave. In caso di difetti di stampa non imputabili all’Utente, Officinastudenti sarà
tenuta esclusivamente a eseguire una sola ristampa del Contenuto.
18.2. Gli Utenti qualificabili come consumatori riconoscono che gli Stampati costituiscono beni
personalizzati a propria specifica richiesta e, pertanto, che dal servizio di stampa richiesto è escluso
il diritto di recesso ex art. 59, d.lgs. 2006/205. I medesimi Utenti possono richiedere ad
Officinastudenti, nel termine di cui dall’art. 132, d.lgs. 2006/205, i rimedi previsti dal medesimo
decreto per i difetti di conformità dei Prodotti, sussistenti al momento della consegna del bene.
18.3. Al momento della consegna, l’Utente è tenuto a esaminare attentamente gli Stampati ed i
Prodotti ricevuti. Eventuali vizi, difetti nella stampa o nel confezionamento degli Stampati non
imputabili all’Utente, vanno segnalati immediatamente al corriere. La merce deve essere ritirata
apponendo firma con riserva specifica di controllo. L’Utente dovrà poi aprire una segnalazione
tramite mail, avendo cura di allegare la documentazione fotografica, ove richiesto, entro 8 giorni
dalla ricezione degli Stampati e dei Prodotti. Officinastudenti si attiverà nel minor tempo possibile
per rispondere alle segnalazioni ricevute.
19.1. Le Condizioni Generali rappresentano la totalità dell’accordo tra Officinastudenti e l’Utente
del Sito; le Condizioni Generali si sostituiscono a qualsiasi eventuale accordo anteriormente
13 intervenuto tra l’Utente e Officinastudenti e ad ogni altra diversa indicazione presente in altre parti
del Sito.
19.2. Il fatto che Officinastudenti non eserciti i diritti che le sono riconosciuti in applicazione delle
presenti condizioni non costituisce una rinuncia a far valere tali diritti. Se una qualunque delle
disposizioni presenti nelle Condizioni Generali venisse ad essere invalidata, le altre disposizioni
rimarranno efficaci e continueranno ad essere applicate.
19.3. Anche in ragione delle proprie esigenze operative e imprenditoriali, nonché per migliorare il
Sito, le funzionalità ivi presenti e i Servizi offerti, Officinastudenti si riserva il diritto di apportare,
in qualsiasi momento e senza preavviso, modifiche e integrazioni alle presenti Condizioni Generali,
mettendone a conoscenza l’Utente mediante pubblicazione sul Sito. Le modifiche e integrazioni
eventualmente apportate saranno efficaci a far tempo dalla data di pubblicazione delle medesime sul
Sito.
19.4. L’utilizzo del Sito in un momento successivo all’apporto di tali modifiche e integrazioni
implica la completa accettazione da parte dell’Utente delle nuove Condizioni Generali. Si invita,
pertanto, l’Utente a verificare costantemente eventuali modifiche e integrazioni apportate alle
Condizioni Generali di volta in volta in vigore ed a non utilizzare il Sito qualora l’Utente non
condivida e non intenda accettare, in tutto e/o in parte, tali Condizioni Generali.
I dati personali conferiti dall’Utente o comunque acquisiti durante la navigazione del Sito saranno
oggetto di trattamento da parte di Officinastudenti nel pieno rispetto della normativa sulla
protezione dei dati personali, secondo le previsioni specificamente indicate nella sezione “Privacy
Policy” del Sito che, per l’effetto, l’Utente dichiara di aver letto ed accettato.
L’Utente residente nell’Unione Europea deve essere a conoscenza del fatto che la Commissione
Europea ha istituito una piattaforma online che fornisce uno strumento di risoluzione alternativa
delle controversie. Tale strumento può essere utilizzato dal consumatore europeo per risolvere in via
non giudiziale ogni controversia relativa a e/o derivante da contratti di vendita di beni e servizi
stipulati in rete. Di conseguenza e salvo quanto precede al presente articolo, l’Utente che effettui
acquisti in qualità di consumatore potrà usare tale piattaforma per la risoluzione di ogni disputa
nascente dal contratto online stipulato con Officinastudenti. La piattaforma è disponibile al seguente
link: https://webgate.ec.europa.eu/odr/main/?event=main.home.show&lng=IT.
22.1. Le presenti Condizioni Generali, così come ogni questione connessa alla loro formazione, validità, interpretazione, esecuzione, modifica e cessazione, sono disciplinate dalla legge italiana.
22.2. Per qualsiasi controversia relativa alle presenti Condizioni Generali sarà competente in via
esclusiva il Foro di Napoli, ad eccezione delle controversie con Utenti consumatori che saranno
invece di competenza dell’autorità giudiziaria del luogo di residenza o di domicilio dell’Utente
consumatore, con ciò intendendosi una persona fisica che richieda un Servizio offerto dal Sito per
scopi estranei all’attività imprenditoriale o professionale eventualmente svolta.
***
Ai sensi e agli effetti degli artt. 1341 e 1342 c.c., l’Utente approva specificatamente, mediante
separata accettazione telematica, le seguenti clausole, dopo averle attentamente lette, esaminate ed
inteso il loro contenuto: Art. 4 – Divieti; Art. 6 – Community; Art. 7 – Profilo degli Utenti; Art. 8 –
Licenza d’uso; Art. 9 – Oggetto dei contenuti; Art. 10 – Responsabilità dell’Autore; Art. 11 –
Obbligo di manleva; Art. 14 – Assenza di verifica sugli Stampati; Art. 18 – Esonero di
responsabilità per vizi; Art. 19 – Condizioni Generali e modifiche; Art. 22 – Legge applicabile e
foro competente.
Reviews
There are no reviews yet.
Only logged in customers who have purchased this product may leave a review.