Metodi Numerici

(1 recensione del cliente)

Price range: 0,00€ through 17,30€


COD: 14311 Categoria: Community: Disponibile
community-banner

Description

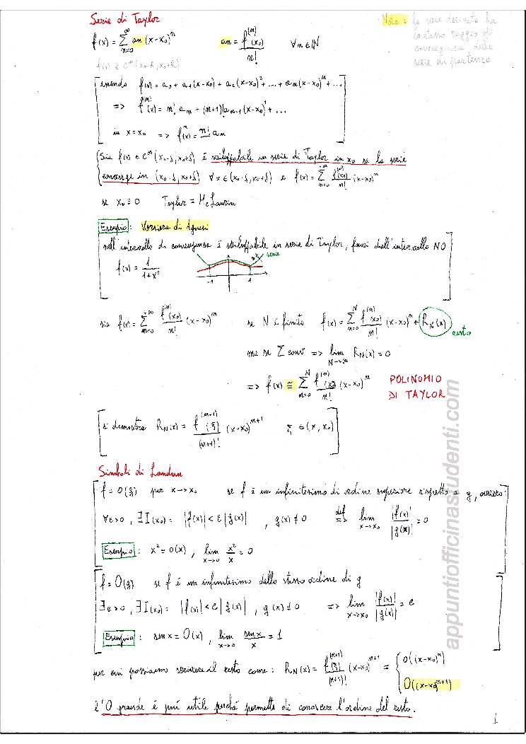
Appunti dettagliati del corso di Metodi Numerici in Ingegneria Aerospaziale tenuto in a.a.2020/2021. Sono presenti appunti su tutta la parte teorica del corso e tutti i programmi scritti a lezione di laboratorio con commenti che rimandano alla teoria. prof Chiatto-Coppola, redatti da Luigi D’Arco

Book Details

Utile per il corso del Prof.

Chiatto Matteo, Coppola Gennaro

CFU

9

Anno accademico

2020-2021

Triennio

0

Biennio

0

Pagine

123

Autore

Luigi D'Arco

Copie vendute

95

Reviews

1 review for Metodi Numerici

  1. pasquale.valerio (proprietario verificato)

    Mi sono trovato molto bene. Lo consiglio a tutti

Only logged in customers who have purchased this product may leave a review.